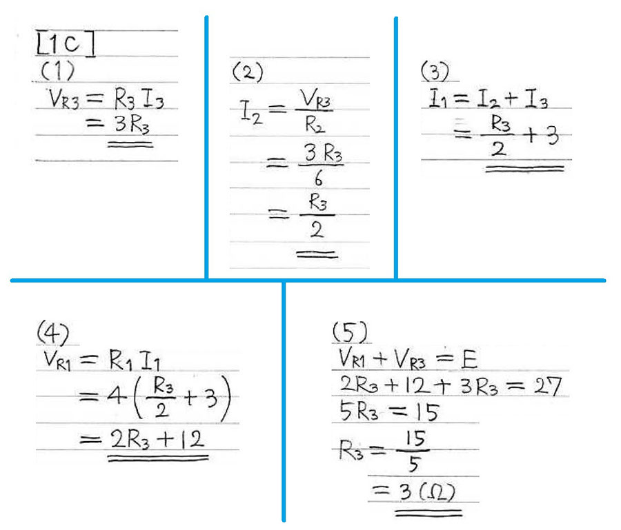
入門ーアナログ回路 解答例
問題へ戻る